File:HBCCO Tdep.png
Jump to navigation
Jump to search
Error creating thumbnail: Unable to save thumbnail to destination
No higher resolution available.
HBCCO_Tdep.png (347 × 194 pixels, file size: 4 KB, MIME type: image/png)
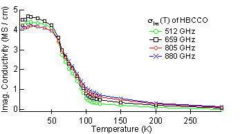
THz TDS is used to map the temperature dependence of the conductivity in the high-temperature superconductor HBCCO, showing an sharp increase in the imaginary component near the critical temperature where Cooper pairing becomes efficient.
File history
Click on a date/time to view the file as it appeared at that time.
| Date/Time | Thumbnail | Dimensions | User | Comment | |
|---|---|---|---|---|---|
| current | 11:55, 6 November 2009 | 347 × 194 (4 KB) | Pcunni1 (talk | contribs) | THz TDS is used to map the temperature dependence of the conductivity in the high-temperature superconductor HBCCO, showing an sharp increase in the imaginary component near the critical temperature where Cooper pairing becomes efficient. |
You cannot overwrite this file.
File usage
The following page uses this file: